Freunde des Lichts.
Vor wenigen Tagen, habe ich die 10.000km Marke geknackt. Kein Thema...für viele...
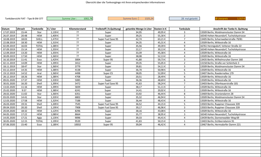
aber ich habe seid Beginn an die Tankrechnungen in Excel untergebracht.
1002 Liter Sprit für 1325 Euro bei 28x Tanken.
Gruß Alex
Freunde des Lichts.
Vor wenigen Tagen, habe ich die 10.000km Marke geknackt. Kein Thema...für viele...
aber ich habe seid Beginn an die Tankrechnungen in Excel untergebracht.
1002 Liter Sprit für 1325 Euro bei 28x Tanken.
Gruß Alex
10 Liter schnitt....da hast du entweder viele Versuche für 204 auf dem Tacho gebraucht oder bist viel Städtisch unterwegs.
10 Liter schnitt....da hast du entweder viele Versuche für 204 auf dem Tacho gebraucht oder bist viel Städtisch unterwegs.
Die Avus rauf und runter geknattert ![]()
Moin Moin.
Die AVUS nehme ich wirklich sehr sehr selten. Grundlegend stimmt das mit dem Stadtbetrieb aber.
Alle reden von sparsamen Motoren und so,.... knallen aber jeden Meter Straße in diesem Land mit mindestens einer der vorherigen abweichenden Geschwindigkeitsbegrenzung voll.
Das "Motor-Start-Konzert" an manchen Kreuzungen ist mitlerweile schon extrem.... wenn dann im Sekundentakt immer in 3er Gruppen 40 Autos ihre Motoren wieder starten. Da hört man bei manchen schon den Hilfeschrei des Motors.
1,4L Turbo.... 10L in der Stadt und 23L auf der Piste. Das hat man vor 10 Jahren auch schon geschafft. Tz,.....
Sie haben noch kein Benutzerkonto auf unserer Seite? Registrieren Sie sich kostenlos und nehmen Sie an unserer Community teil!
Das 4xe Forum ist KEIN offizielles Angebot der FCA Germany AG.
Hier erreichst Du den offiziellen Kundenservice:
I AM JEEP 00 800 0 426 5337
I AM JEEP hilft Dir bei allen Fragen rund um Deinen Jeep weiter. NICHT bei Fragen zu unserem Forum!
Weitere FCA Konzen Marken Community's
Weitere Webseiten zum Thema Fiat